由向齒輪誤差的測量JB179-83中規定齒問誤差dFB是在分度圓柱面(允許在齒高中部)上,齒寬工作部分范圍內(端部倒角部分除外),包容實際齒向線的兩條最近的設計齒向線之間的端面距離。直齒輪齒向線與齒輪中心線平行。斜齒輪的齒向線就是漸開螺旋面上的螺旋線。齒輪誤差不同直徑上的螺旋線的螺旋角是不等的,但這些螺旋線的導程是一個定伯。測量時要把儀器測頭推確地調到分度圓柱面上比較困服,所以齒向誤差測量經常是以導程來代沓嘌旋射進行測量。
安螺旋線的形成原理,由圖可得:

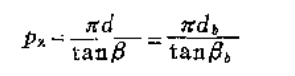
實際上,斜齒輪不可能具有全導程,因此可把齒向誤差測量轉化成齒輪轉角傘和螺旋線在齒輪軸線方向位移其b的測量。
轉角P和位移量b應符合下列關系式:

齒向誤差的測盤方法齒問誤差可用比較法和坐標法測量,齒輪誤差也可任全齒寬整體誤差曲線上讀取。比較法儀器機構將轉角和直線運動有機地聯系起來,形成標準的螺旋運動,與被測齒輪的螺旋面進行比較測量,出指術裝置直接示出齒向誤差。
(2)坐標達根據螺旋線形成原理,按比例歷長度坐標利和角度坐標分別測出測頭沿軸向方向的直線位移和齒輪轉角,出指示裝置測出齒向決差。
或者指示裝置移動軸向離b后指零,比測出的實際轉角p實理論轉角理之差4p按下式算出齒問誤差4Fa。
齒向誤蓮的測量儀器a。齒輪誤差螺旋線檢查儀(導程儀)采用比較法測荒齒向誤差的儀器,通常稱為螺旋線檢在儀(或導型儀)。這類儀器需要有小準螺旋線形成機構、被測齒輪的安裝定位機構和齒向誤差的指示裝置等。根據標誰螺旋線形成機構不同,導程儀可分為:圓盤正弦尺式、側盤與光學調角式、圓盤杠桿式、標誰螺桿式。